教师资格证笔试什么时候出成绩及2024上半年教师资格证报名

根据各地公告显示,这次笔试的成绩查询时间是4月15日,根据以往规律,笔试成绩可能会提前2-3天公布,我们会第一时间通知大家查成绩。

成绩查询地址依然是我们熟悉的教师资格证官网。

网址:http://ntce.neea.edu.cn/

教师资格笔试成绩查询时间已定!到底多少分能过?

笔试结束后,很多同学都跟着老师估了分,但估分的时候很多同学就有个疑问:

为什么卷面满分是150分,报告满分却变成了120分?报告合格分又变成了70分?

到底考多少分才能合格呢?

接下来我们就解决这个问题,一定要注意看哦!

01

卷面分数≠报告分数

首先,教师资格证真题的实际卷面满分是150分,报告满分是120分,具体的概念及换算关系如下:

卷面满分:指平时做的真题卷分数,满分为150分。

报告满分和报告及格分:指卷面满分通过公式换算的分数,满分为120分;报告合格分数为70分。

报告分数就是你查成绩时的分数!只要你的报告分数≥70分,就合格啦!

老师在阅卷的时候,会根据150分的卷面满分标准,为你打一个卷面得分,之后再依据一定的换算标准,折合成报告得分。

其中的换算标准请往下看。

换算标准:通过率

教师资格证考试是竞争性考试,通过设置比率以筛选出优质的教师资源。

每个省份的通过率是不同的,经过历年观察,大概在30%左右。

那么通过率是怎样影响分数的呢?

举个例子:

某省,去年教师资格证考生共9000人,通过率30%,第2700名考生卷面分数90分,所以90分是及格分数;

今年考生共10000人,通过率29%,第2900名考生卷面分数92分,所以92分是及格分数。

也就是说,考生的整体水平,是影响合格分数浮动的重要因素。

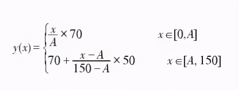
换算公式:

卷面分数<及格分数时:Y(X)=X/A*70

卷面分数≥及格分数时:Y(X)=70+(X-A)/(150-A)*50

教师资格笔试成绩查询时间已定!到底多少分能过?

其中X=卷面分数,A=及格分数线,Y(X)=转换后的分数(也就是你能查到的分数)

假如你的卷面得分是100分,而考试方依照比率设置的及格分数线是90分,那么你的报告分数=78.33分,大于70分,表示成绩合格。

假如你的卷面分是88分,考试方依照比例设置的及格分数线是90分,那么报告分数=68.44分,低于70分,表示成绩不合格。

假如你的卷面分是90分,及格分数线也是90分,那么报告分数=70分,表示成绩合格。

02

多少分才能保过?

很多考过的同学会有这样的疑惑,科目一简单有把握却没通过,科目二难度大没底气反而通过了。

结合我们前面讲过的通过率就不难理解了。

科目一考察的内容通俗易懂,你觉得容易就没有下工夫去学习,正好其他人都这样认为,导致大家考试成绩都差不多,如果成绩正好卡在通过率及格线上,那么很容易就不过;

整体而言,教师资格证笔试想要合格,科目一的保守卷面分数应该在90+,科目二的保守卷面分数应该在85+。

用一句正确的废话总结就是:分数越高,通过考试的几率就越大!

另外面试的考试时间也已经确定,2021年5月15日到16日,面试将会到来。

按照以往的节奏,面试的报名时间大概会在4月中旬,如果报名之后再备考,那就只有一个月的准备时间了。

所以建议大家提前备考。

版权声明:本文内容由互联网用户自发贡献,该文观点仅代表作者本人。本站仅提供信息存储空间服务,不拥有所有权,不承担相关法律责任。如发现本站有涉嫌抄袭侵权/违法违规的内容, 请发送邮件至lhzc88@qq.com举报,本站将立刻删除。
(0)
六月的雨
上一篇 2024年8月7日 07:43
下一篇 2024年8月7日 08:07

相关推荐